Status of site MOPA

30-Dec-2025 15:50:01

swisstopo pnac
A: Data B: Meteo C: Coordinates Detailed information: Other

Content

Hourly data availability (RINEX 2/3)
Daily data availability (RINEX 2/3)
Number of observations (RINEX 2/3) last day
Location
Multipath of observations (RINEX 2/3) last day
Multipath of observations (RINEX 2/3) last month
Detailed summary of data quality plots (RINEX 2/3)
Skyplot (RINEX 2/3)
Troposphere weekly validation
Troposphere long-term (FODITS)
Troposphere long-term (annual fit)
Long-term troposphere difference to radio sonde (if collocated)
Troposphere short baseline validation (double stations only)
Short baseline coordinate repeatability (double stations only)
Long-term daily coordinate repeatability and fft
Long-term daily intersystem translation parameters
Monthly intersystem translation parameters (final daily)
NRT intersystem translation parameters (hourly)
Monthly coordinate repeatability (final daily)
Monthly/fortnightly coordinate repeatability (NRT daily + hourly)
Coordinate repeatability last hours and days
Exclusions last hours and days
Troposphere monitoring
Troposphere monitoring for EUMETNET
PPP: Static coordinates
PPP: Daily intersystem translation parameters
PPP: Troposphere
PPP: Kinematic coordinates
PPP: Receiver clock

Hourly data availability (RINEX 2/3)

Sess: 333333333333333333333333333333333333333333333333333333333333
      666666666666666666666666666666666666666666666666666666666666
      222222222222222222222233333333333333333333333344444444444444
      CDEFGHIJKLMNOPQRSTUVWXABCDEFGHIJKLMNOPQRSTUVWXABCDEFGHIJKLMN
-----+------------------------------------------------------------+-------
MOPA |222222222222222222222222222222222222222222222222222222222222| 100.0%
-----+------------------------------------------------------------+-------
-=<0min; 1=0-4min; 2=4-8min; 3=8-12min; 4=12-16min; ...; +=>36min;
                        
top

Daily data availability (RINEX 2/3)

Sess: 333333333333333333333333333333333333333333333333333333333333
      000000111111111122222222223333333333444444444455555555556666
      456789012345678901234567890123456789012345678901234567890123
      000000000000000000000000000000000000000000000000000000000000
-----+------------------------------------------------------------+-------
MOPA |111111111111111111111111111111111111111111111111111111111111| 100.0%
-----+------------------------------------------------------------+-------
-=<0h; 1=0-6h; 2=6-12h; 3=12-18h; 4=18-24h; ...; +=>2d6h;
                        
top

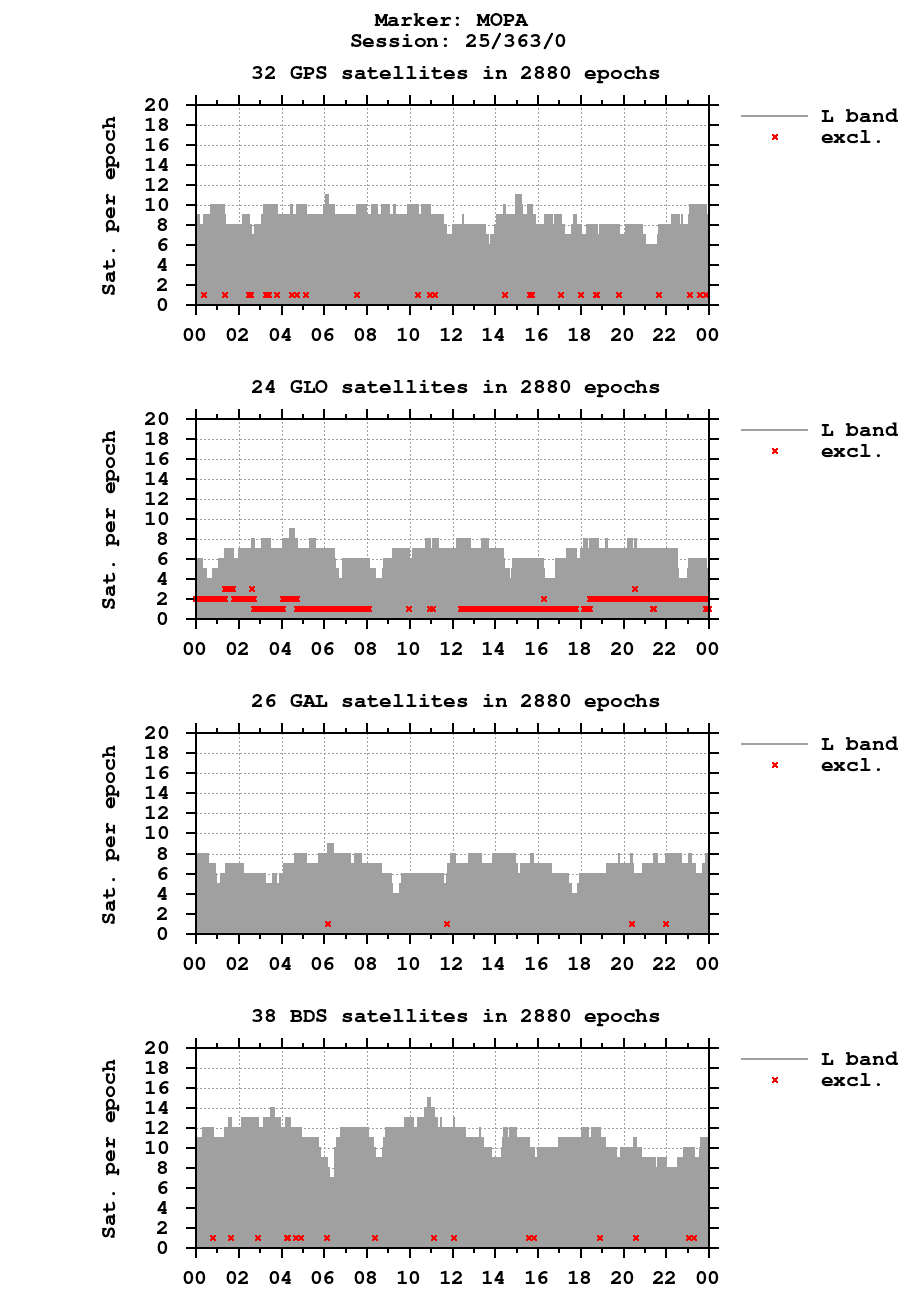
Number of observations (RINEX 2/3) last day

Number of observations (RINEX 3) of MOPA last day
top

Multipath of observations (RINEX 2/3) last day

Multipath of observations (RINEX 3) of MOPA last day
top

Multipath of observations (RINEX 2/3) last month

Multipath of observations (RINEX 3) of MOPA last month
top

Detailed summary of data quality plots (RINEX 2/3)

anubis summary RINEX 3
top

Location

top

Skyplot (RINEX 2/3)

Skyplot (RINEX 3) of MOPA
top

Troposphere weekly validation

top

Troposphere long-term (FODITS)

top

Troposphere long-term (annual fit)

top

Long-term troposphere difference to radio sonde (if collocated)

top

Troposphere short baseline validation (double stations only)

top

Short baseline coordinate repeatability (double stations only)

top

Long-term daily coordinate repeatability and fft

top

Long-term daily intersystem translation parameters

top

Monthly intersystem translation parameters (final daily)

top

NRT intersystem translation parameters (hourly)

top

Monthly coordinate repeatability (final daily)

top

Monthly/fortnightly coordinate repeatability (NRT daily + hourly)

top

Coordinate repeatability last hours and days

top

Exclusions last hours and days

No current entries of exclusions found
top

Troposphere monitoring

top

Troposphere monitoring for EUMETNET

Tropo time series last days of MOPA for EUMETNET
top

PPP: Static coordinates

color: PPP fixed, black: PPP floating daily coordinates from CODE rapid products

PPP: Coordinate repeatability last days of MOPA
top

PPP: Daily intersystem translation parameters

TRA time series of MOPA last 2 weeks
Mean estimates for all stations: R: 4P - 2P
Mean estimates for all stations: E: 4P - 2P
Mean estimates for all stations: C: 4P - 2P
top

PPP: Troposphere

PPP: Troposphere last days of MOPA
top

PPP: Kinematic coordinates

PPP: Kinematic coordinate repeatability last days of MOPA
top

PPP: Receiver clock

PPP: Receiver clock biases last days of MOPA
top

Last modified: